Welcome to My Portfolio!

Explore a selection of my projects below, complete with screenshots and interactive demos where available.

1. Procedurally Generated Puzzle Adventure Enhanced by Speech and Emotion AI

  • Designed and implemented PCG algorithms to generate unique and dynamic game environments.
  • Utilized Cellular Automata, Delaunay Triangulation, MST, and A* to construct a complex PCG dungeon.
  • Integrated Speech-to-Text (STT) and Speech Emotion Recognition (SER) technologies.
  • Led the team, overseeing project integration and version control.
  • Delivered a functional prototype showcasing dynamic content generation and AI-driven features.
Screenshots:
Screenshot of Gameplay Interface
Screenshot of Gameplay Interface
Screenshot of In-game Corridor
Screenshot of In-game Corridor
Screenshot of Battle Interface
Screenshot of Battle Interface
Screenshot of Procedurally Created Dungeon
Screenshot of Procedurally Created Dungeon
Screenshot of PCG Map Creation Process
Screenshot of PCG Map Creation Process
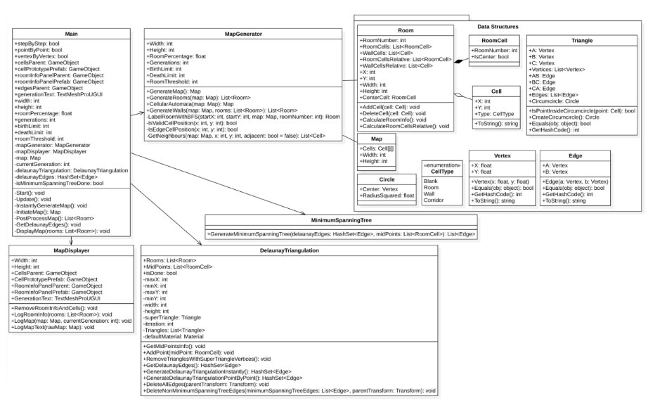
Screenshot of PCG Class Diagram
Screenshot of PCG Class Diagram
Video Demo:
Interactive Demo:
Technologies Used:

2. WebGPU Interactive Tank

  • Built an interactive 3D tank simulation using WebGPU.
  • Implemented tank movement, turret rotation, shell firing with gravity.
  • Applied texture mapping and normal mapping for visual realism.
  • Delivered a functional prototype demonstrating smooth controls and physics.
Screenshots:
Screenshot of Tank Simulation
Screenshot of Tank Simulation
Screenshot of Shell Firing Feature
Screenshot of Shell Firing Feature
Screenshot of Pause Feature
Screenshot of Pause Feature
Screenshot of Tank From Front
Screenshot of Tank From Front
Screenshot of Tank From Above
Screenshot of Tank From Above
Video Demo:
Interactive Demo:
Technologies Used:

3. Seoul Cheer-up

  • Developed a crowdsourcing platform to manage abandoned public electric scooters.
  • Built core frontend features using React, ensuring a responsive interface.
  • Proposed the central idea of an interactive platform with gamification elements.
Screenshots:
Screenshot of Main Interface
Screenshot of Main Interface
Screenshot of Reporting Interface
Screenshot of Reporting Interface
Screenshot of Gamification Interface
Screenshot of Gamification Interface
Technologies Used:

4. Ppukku’s Grand Adventure: Grow Longer!

  • Developed a mini-game as a Unity intern, released on Play Store and App Store.
  • Implemented snake-like controls using a virtual joystick.
  • Used cycle detection and raycasting to determine “encircle” mechanic.
Screenshots:
Screenshot of Lobby Interface
Screenshot of Lobby Interface
Screenshot of Game Over Interface
Screenshot of Game Over Interface
Screenshot of Gameplay Interface
Screenshot of Gameplay Interface
Description of Encircle to Defeat Feature
Description of Encircle to Defeat Feature
Video Demo:
Download/Play Links:
Technologies Used:

5. Fate and Coincidence

  • Collaborated on an escape room game in Unity, scheduled to release in Mar 2025.
  • Managed all game data via Google Sheets; built event system by parsing CSVs.
  • Developed an organic dialogue system for branching scenarios.
  • Implemented a cylindrical lock dial using trigonometry and raycasting.
  • Created a diary page drag feature for flipping pages by mouse drag.
Screenshots:
Screenshot of Dialogue System
Screenshot of Dialogue System
Screenshot of Diary Puzzle
Screenshot of Diary Puzzle
Screenshot of Google Sheets Controlling Game Data
Screenshot of Google Sheets Controlling Game Data
Screenshot of Dial Puzzle
Screenshot of Dial Puzzle
Screenshot of Diary Page Flipping Feature
Screenshot of Diary Page Flipping Feature
Video Demo:
Interactive Demo:
Technologies Used:

6. Polar Polar

  • Created a 2D platformer in 4 days at Com2uS Mentoring School.
  • Implemented magnetic action elements using N-pole and S-pole to repel/attract objects.
  • Developed multi-layered parallax backgrounds for depth perception.
Screenshots:
Screenshot of Main Gameplay
Screenshot of Main Gameplay
Screenshot of Magnetic Gameplay (Bouncing Off Icicle)
Screenshot of Magnetic Gameplay (Bouncing Off Icicle)
Screenshot of UI Indicating Progress
Screenshot of UI Indicating Progress
Screenshot of Parallax Background
Screenshot of Parallax Background
Screenshot of Magnetic Gameplay (Super Jump)
Screenshot of Magnetic Gameplay (Super Jump)
Video Demo:
Interactive Demo:
Technologies Used:

7. AIDA (Axie Infinity Data Analyzer)

  • Developed a game data analysis service for Axie Infinity at SKYGG.
  • Collected and analyzed data using the official API for player insights.
  • Built the database and web services in Python Flask + MySQL, deployed on GCP.
Screenshots:
Screenshot of Main Page
Screenshot of Main Page
Screenshot of Similar Decks Page
Screenshot of Similar Decks Page
Screenshot of Online Users Page
Screenshot of Online Users Page
Screenshot of Filter Teams Page
Screenshot of Filter Teams Page
Technologies Used:

8. Mobile Robot Controller

  • Developed a robot control simulation program for navigating obstacles in disaster scenarios.
  • Implemented in Python using OOP principles.
  • Utilized the A* algorithm to find shortest paths while avoiding hazards.
  • Integrated STT(Speech-to-Text) to modify map info via voice commands.
Screenshots:
Screenshot of Map Settings Interface
Screenshot of Map Settings Interface
Screenshot of Path Finding Interface
Screenshot of Path Finding Interface
Screenshot of Voice Input Interface
Screenshot of Voice Input Interface
Screenshot of Event Logs on the Right
Screenshot of Event Logs on the Right
Screenshot of the Map Component Diagram
Screenshot of the Map Component Diagram
Screenshot of the Main Class Diagram
Screenshot of the Main Class Diagram
Video Demo:
Technologies Used:

9. Cpong

  • Remade Atari’s Pong in C language for a class project.
  • Enabled local 2-player multiplayer functionality.
  • Developed the game in pure C, using Windows.h for system functions.
Screenshots:
Screenshot of Lobby Interface
Screenshot of Lobby Interface
Screenshot of Gameplay Interface
Screenshot of Gameplay Interface
Screenshot of 1p Scoring
Screenshot of 1p Scoring
Screenshot of Game Over Interface
Screenshot of Game Over Interface
Video Demo:
Technologies Used:

10. T.E.A. (Text Editor Advanced)

  • Created a personal notepad application using Python.
  • Added mouse-drawn drawing capabilities within the notepad.
  • Enabled various font and brush settings.
  • Implemented file creation, saving, and loading functionalities.
Screenshots:
Screenshot of Text Editor Interface
Screenshot of Text Editor Interface
Screenshot of Font Settings Feature
Screenshot of Font Settings Feature
Screenshot of Drawing Canvas Interface
Screenshot of Drawing Canvas Interface
Screenshot of File Read and Write Feature
Screenshot of File Read and Write Feature
Video Demo:
Technologies Used:

11. Library Lobby Noise Signal Light

  • Created a device to display noise levels visually in the library lobby.
  • Programmed with Arduino to calculate average decibels every 3ms.
  • Displayed noise levels using color indicators based on thresholds.
  • Implemented real-time decibel level display from 1 to 9.
Screenshots:
Photo of Library From Above
Photo of Library From Above
Noise Signal Device - Level 1
Noise Signal Device - Level 1
Noise Signal Device - Level 2
Noise Signal Device - Level 2
Noise Signal Device - Level 3
Noise Signal Device - Level 3
Video Demo:
Technologies Used: